Menu
ZŠ Pasířská

Důležité události naší školy:

  • 6.3. 2026 zveřejnění výsledků zápisu do 1. ročníku pro šk. rok 2026/2027
  • 1. týden v květnu 2026 talentové zkoušky do sportovní třídy 6. ročníku

 

Naše motto

Škola - bezpečné místo pro růst, rozvoj, realizaci ...

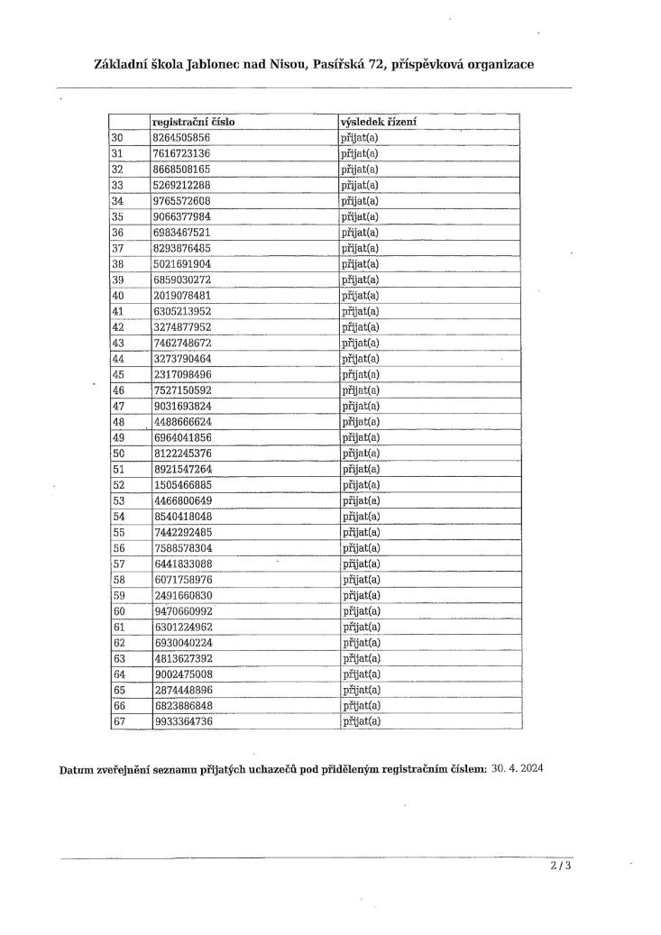
Seznam uchazečů přijatých k základnímu vzdělávání v Základní škole Jablonec n d Nisou, Pasířská 72, příspěvková organizace, od 1. 9. 2024

Číslo jednací: 170/24

fotofotofoto

Datum sejmutí: 1. 5. 2027 Zodpovídá: Správce Webu Dokument zveřejněný pouze na elektronické úřední desce dle daných předpisů

Škola

projekty